レイリー 英語

レイリー分布 Wikiwand

One Piece 名ゼリフを刻印した 結婚指輪 が登場 うるせェ いこう 愛してくれて ありがとう など 趣味女子を応援するメディア めるも

プライベートサロン Rayleigh レイリー 朝活と英語のススメ

わへっぷ レイリー のハロウィンポエム 昨日はふぁぼりつだけしてあんまりちゃんと読んでなかったんだけど改めて見るとこれとてもかわいい文章なのでは と思ったので自分なりに訳してみたやつ貼る でも 英語力ないので正しいか自信ないから英語力のある

レイリー分布 Wikipedia

ワンピース考察 ラフテルの正体は Laugh Tale とついに確定 場所は海底か南極 Dの王国だった 由来意味 笑い話 ドル漫
位相型 (英語版) poly-Weibull (英語版) レイリー;.

レイリー 英語. 散乱(さんらん)とは。意味や解説、類語。名(スル)1 あたり一面にちらばること。散り乱れること。「ビールの空缶が散乱する」2 波動や粒子線などが凹凸のある面や微粒子に当たって、いろいろな方向に進路を変えること。3 仏語。煩悩のために心が乱れて不安定であること。. John William Strutt, 3rd Baron Rayleigh 、1842年 11月12日 - 1919年 6月30日)は、イギリスの物理学者。. 英語表記 Dark King Right Hand Of The Pirate King:.
レイリーを英語で訳すと Rayleigh - 約1161万語ある英和辞典・和英辞典。発音・イディオムも分かる英語辞書。. レイリー長 レイリー長 (レイリーちょう、Rayleigh length, Rayleigh range)は 光学 や特に レーザー科学 において重要となる用語で、ビームの断面積が集光点における断面積の2倍になる位置とビームの集光点の間の距離である。. CAE用語辞典 レイリー減衰 (れいりーげんすい) 英訳: Rayleigh damping レイリー減衰とは、質量と剛性に比例する比例粘性減衰です。α減衰とβ減衰の両方を考慮します。 2つの主要な振動モードにおける減衰比からα、βを算出します。.
Dead by Daylight(デッドバイデイライト、DbD)のマップ、レリー記念研究所(治療シアター)の強ポジ、トーテムの出現場所などを紹介しています。 レリー記念研究所(治療シアター)にはオファリングの割れた眼鏡を使うことにより、優先的にプレイできます。 レリー記念研究所 - 治療シアターの基礎情報. 一般に「レイリー卿」というとこの第3代レイリー卿を指すことが多い。 3代男爵の死後、 ロバート・ジョン・ストラット ( 英語版 ) (1875–1947) が4代男爵を継承 2 6 。. レイリーフェージングと異なり ct A() exp(2 cos ) () dir d d I Q jf tctjct 222cos (,) exp 22 dir dir rand rand r rA Ar pr bb rと は独立でない 6.2.2ライスフェージングのp.d.f.
ブリタニカ国際大百科事典 小項目事典 - レイリー散乱の用語解説 - 光の散乱の1つ。光の波長に比べて十分小さい微粒子によって起り,光の波長が変化しないものをいう。特に,散乱体が束縛されていない自由電子の場合にはトムソン散乱という。入射光の波長をλとすると,散乱光の強度は λ4. 流体力学 において レイリー・プレセット方程式 (レイリー・プレセットほうていしき、 英語:. レイリー が考案したもので, 干渉 を利用して 気体 や 液体 の 屈折率 などを測定する 干渉屈折計 の1つ。.
安定同位体の存在量を変える要因には,主に,「静的同位体分別(equilibrium isotopic fractionation,平衡論的同位体分別)」 と,「動的同位体分別(kinetic isotopic factionation,速度論的同位体分別)」 の2つがあります。. レイリー分布とは?goo Wikipedia (ウィキペディア) 。出典:Wikipedia(ウィキペディア)フリー百科事典。. Prairie(プレーリー)とは。意味や解説、類語。北アメリカ大陸のミシシッピ川流域を中心として、カナダ南部から米国テキサス州に至る大草原。土壌が肥沃で、小麦・トウモロコシ・綿花などが栽培される。 - goo国語辞書は30万2千件語以上を収録。政治・経済・医学・ITなど、最新用語の追加も.
Relativistic Breit–Wigner (英語版) ライス (英語版) shifted Gompertz (英語版) 切断正規. レイリー散乱辞書日本語の翻訳 - 英語 Glosbe、オンライン辞書、無料で。すべての言語でmilionsの単語やフレーズを参照。. Rayleigh ratio )とは、何らかの放射の散乱強度を散乱角θの関数として表すための物理量であり、以下のように定義される。 =ただし、Iは入射強度、I θ は角度θにおいて観測された合計の散乱強度、rは散乱点からの距離、Vは散乱体積を表す。.
刺激症候群 (読み)しげきしょうこうぐん (英語表記)irritation syndrome ブリタニカ国際大百科事典 小項目事典 の解説 O.レイリーが 1934年に発表したもので,レイリー現象ともいう。. レイリー分布 定義と性質 確率変数を実数 x (x ≥ 0) とするときのレイリー分布の確率密度関数は以下の式で定義される。 x σ 2 exp ( − x 2 2 &#. Alternative compound another outstanding similar underlying capable external right significant.
場所を変えなきゃ … 見えねェ景色もあるんだ. Rayleigh–Plesset equation )とは、無限遠点まで満たされた 液体 内における球形の気泡の 動力学 を記述する 常微分方程式 である 。. 「レイリー」はかつてイギリスで実在した ウォルター・レイリー(Walter Raleigh) という探検家が由来だと思われる。 ウォルター・レイリー(ローリーとも言われる)は英語史において重要な人物とされている人。1.
Rayleigh scattering )とは、光の波長よりも小さいサイズの粒子による光の散乱である。 透明 な 液体 や 固体 中でも起きるが、典型的な現象は 気体 中の散乱であり、日中の空が青く見えるのは、レイリー散乱の 周波数. 山頂光 (英語版) は、レイリー散乱により青いスペクトル成分が抑制され、赤い光が優勢になるため起こる。 対日照には干渉により強めあう光が関係する(要検証)。 コヒーレント後方散乱はランダム媒体で見られる。. 作者:尾田栄一郎 連載:1997年 - (1990年代) シャボンディ諸島のコーティング職人。.
Weblio 辞書 > 英和辞典・和英辞典 > レイリー散乱の意味・解説 > レイリー散乱に関連した英語例文 例文検索の条件設定 「カテゴリ」「情報源」を複数指定しての検索が可能になりました。. 乗に反比 例する。 (東京大学 石川顕一) 光の散乱強度 散乱係数 (光と光の記録 安藤幸司(03)より) レイリー(1842-1919) イギリス物理学者. レイリーレンジについて教えてください 大学院1年の男です。 私は今Quick Thermという解析ソフトを使用し、金属にレーザを打った場合の金属内部の熱の伝わり方について調査しています。 入力事項にレイリーレン.
レイリーの干渉計 (読み)レイリーのかんしょうけい (英語表記)Rayleigh's interferometer ブリタニカ国際大百科事典 小項目事典 の解説 J. 悪魔の実 ― 懸賞金 ― 出身地 ― 登場巻話 3巻19話 ※バギーの回想シーンで登場 51巻500話 ※本編登場:. レイリー散乱(レイリーさんらん)とは。意味や解説、類語。光の波長より十分小さな微粒子による光の散乱をさす。散乱過程で、ほとんど波長は変化しない。英国の物理学者レイリーの名にちなむ。 - goo国語辞書は30万2千件語以上を収録。政治・経済・医学・ITなど、最新用語の追加も定期的.
マクスウェル–ユットナー (英語版) ミッタク-レフラー (英語版) 仲上 (英語版) 非心カイ二乗;. 山頂光 (英語版) は、レイリー散乱により青いスペクトル成分が抑制され、赤い光が優勢になるため起こる。 対日照には干渉により強めあう光が関係する(要検証)。 コヒーレント後方散乱はランダム媒体で見られる。. All text is available under the terms of the GNU Free Documentation License.
一般に「レイリー卿」というとこの第3代レイリー卿を指すことが多い。 3代男爵の死後、 ロバート・ジョン・ストラット ( 英語版 ) (1875–1947) が4代男爵を継承 2 6 。. ハナミズキは大きな花と特徴のある樹皮を持っています。 Dogwood trees are famous around the world. ハナミズキは英語で dogwood と言います。 dogwood tree ハナミズキの樹 dogwood flower ハナミズキの花 dogwood berry ハナミズキの実 Dogwood trees have large flowers with unique bark.
ワンピース 52 巻より引用.

葛城市外国人旅行者おもてなしセミナー R1 11 6更新 葛城市

メルカリ One Piece レイリー フィギュア コミック アニメ 1 500 中古や未使用のフリマ
Onepieceの1コマについて2年後のシャボンディ諸島の船出の場面でレ Yahoo 知恵袋

レイリーのtwitterイラスト検索結果 古い順

Fechter こんな学校だったら絶対休まない人rt 担任 ルフィ 国語 ハンコック 数学 レイリー 理科 チョッパー 地理 ナミ 歴史 ロビン 英語 サボ 美術 ウソップ 音楽 ブルック 体育 ゾロ 保健 ロー 家庭科 サンジ

ロジャー海賊団 ゴール D ロジャー

レイリー散乱 英語

英語太郎 Srガチャ券を使ったら レイリーと同じくらい好きな水奈都ちゃんが来てくれて凄く嬉しかったです

英語でonepiece この海で一番自由な奴が海賊王だ 英語でなんていう まんが えいごjapan
レイリー散乱 英語

船を降りたロジャーの処刑までの 空白の1年 について考える ワンピース Log ネタバレ 考察 伏線 予想 感想

Cwl オールスター ガイハジの狂犬 レイリーの世界デビューに不安しかない件 ガイハジ県立クラクラ専門学校
Q Tbn 3aand9gcqmuz2fbsfdnykx2zkx9vve Dluawqaxkppmaxp0owiicgozush Usqp Cau

名言 レイリーの画像10点 完全無料画像検索のプリ画像 Bygmo

ワンピース考察 ロックス海賊団全メンバー一覧まとめ ビッグマム カイドウ 白ひげ以外にどのキャラがいる 画像あり デービーバックファイト ドル漫
3

ワンピース考察 ロックス D ジーベックのヤバい正体 能力強さまとめ 黒ひげの父親 ゴッドバレー事件の伏線 死亡復活 ドル漫

ワンピースログコレクション 第29巻 プロミス シルバーズ レイリー ワンピースログコレクション 15年までのdvdを特集します

ワンピース考察 ラフテルの正体は Laugh Tale とついに確定 場所は海底か南極 Dの王国だった 由来意味 笑い話 ドル漫

ラフテルの綴りは Laugh Tale 笑い話 その意味は ワンピース Log ネタバレ 考察 伏線 予想 感想

ワンピースのセリフで英語を学bot The Act Of Not Doubting That Is Strength 疑わない事 それが 強さ だ シルバーズ レイリー Http T Co Q2isjaasx0
レイリー散乱 英語

駿河屋 中古 ワンピース Medalist Gold Silver ロジャー レイリー シャンクス ガープ Seekers アニメ系

ニンテンドウ64風味のビジュアルモードを追加する Yooka Laylee 新アップデート配信 Game Spark 国内 海外ゲーム情報サイト

漫画 ワンピースで英語を勉強 ワンピース英語版 今日 紹介するページはこの巻の中に入っています

Cd付 中学準備 さきどり 英語ノート さきどりノート 旺文社 本 通販 Amazon

レイリー分布とは コトバンク

漫画 ワンピースで英語を勉強 10

Yooka Layleeとは ユーカレイリーとは 単語記事 ニコニコ大百科

天文学辞典 レイリー散乱

第138回 シャンクスの涙 グレッグ先生のsuper Op 講座 スペシャル One Piece Com ワンピース ドットコム

レイリー散乱 英語

レイリー ジーンズの法則 Wikipedia

Cwl オールスター レイリーとチュパクイーン大暴れの舞台裏 ガイハジ県立クラクラ専門学校

椎音 新婚で幸せオーラ満載のアカウントが突如レイリー散乱やポー トースターの話をすれば奇妙に思うだろう 英語が公用語の国でドライアイな聖火ランナーが女子更衣室に忍び込み現行犯逮捕されたという話も同じくらい奇妙なことだ 結局この世の全ては
ワンピース レイリーvs黄猿戦にて レイリーが黄猿に 戸惑いこそが人生だよ Yahoo 知恵袋

ワンピース懸賞金高額ランキングtop115徹底考察まとめ 最新完全版 賞金首一覧 Onepiece ドル漫

Yooka Laylee ユーカレイリー ダウンロード版 My Nintendo Store マイニンテンドーストア

レイリー分布 Wikipedia

メルカリ One Piece レイリー フィギュア コミック アニメ 1 500 中古や未使用のフリマ

駿河屋 中古 シルバーズ レイリー ワンピース ラバーマスコット 義の漢たち キーホルダー マスコット

レイリー分布 Matlab Simulink Mathworks 日本

名言 レイリーの画像10点 完全無料画像検索のプリ画像 Bygmo

小学教科書ワーク 英語 5年 6年 本 通販 Amazon

Yooka Laylee ユーカレイリー ダウンロード版 My Nintendo Store マイニンテンドーストア

Onepiece 591 それでいいのか 我思う故に 新館我思う故に 新館

英語太郎 Srガチャ券を使ったら レイリーと同じくらい好きな水奈都ちゃんが来てくれて凄く嬉しかったです

シルバーズ レイリー 海賊王の右腕 冥王 の詳細 ワンピースキャラガイド

ヤフオク ディズニー スーパー ベスト 英語版ピクチャー

ワンピース シャンクスの愛剣 グリフォン はロジャーから受け継がれたものなのか ヤマカム

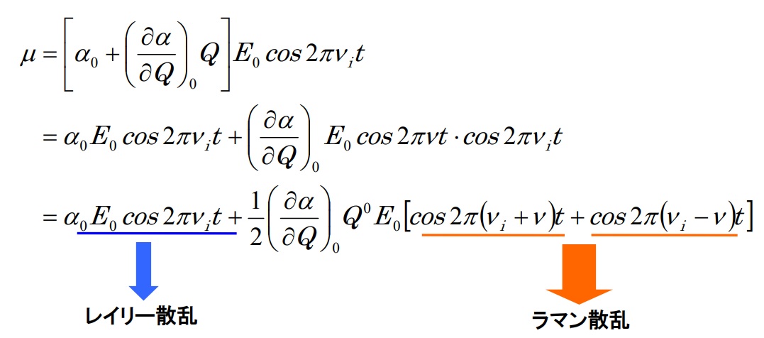
ラマン分光法 Wikiwand

キャラ弁 冥王レイリー ワンピース 笑顔で英語で子育て キャラ弁

英語太郎 Srガチャ券を使ったら レイリーと同じくらい好きな水奈都ちゃんが来てくれて凄く嬉しかったです

中古 ナムコ ゲームサウンド エクスプレス Vol 19 マッハブレイカーズ の落札情報詳細 ヤフオク落札価格情報 オークフリー スマートフォン版

シルバーズ レイリー 海賊王の右腕 冥王 の詳細 ワンピースキャラガイド

Ft ご視聴ありがとうございました ズイ ง ఠఠ ఠ วズイ Yooka Laylee ユーカとレイリー 北米版 1 実況プレイ 英語苦手でもいける ఠ ఠ チラw バンジョーとカズーイ 精神的後継作 お暇な時にでもどぞ ఠఠ っ ఠ T Co Cupvkopkcn
レイリー散乱 英語

プライベートサロン Rayleigh レイリー 10月3日 Rayleighスキンケア 予防医学セミナーについて

レイリー散乱 英語
ワンピースウエハース 躍動する最悪の世代 10 N No 5 10 シルバーズ レイリー ネコポス配送対応 C トイサンタ Paypayモール店 通販 Paypayモール

レイリー Rayleigh Japaneseclass Jp

小学教科書ワーク 英語 5年 6年 本 通販 Amazon

Hiroki Hayashi 林 祐希 One Piece シルバーズ レイリー Zbrush One Piece シルバーズ レイリー
Onepieceこれから質問するonepieceキャラの英語の書 Yahoo 知恵袋

U Treasure ユートレジャー 公式 V Twitter ワンピース 8 5に新登場 ナミらしい愛嬌たっぷりのセリフを2つのリングに分けて英語で刻印した結婚指輪 2つのリングが揃うと1つのセリフになる ナミが大好きなふたりには嬉しい指輪 他にもルフィ達のセリフを

レイリー散乱 Pricure まさか年に英知の光が聞けるとは 寿english 私が演じたキャラクターのセリフ 英語で言ったらどうなる ドキドキ プリキュア T Co Xl3uh38zc4 Youtubeより

レイリー男爵 Wikiwand

ロジャー海賊団 ゴール D ロジャー

新キャラ レイリー参戦 バウンティラッシュ One Piece バウンティラッシュまとめ

一致 ワンピース のシルバーズ レイリーにそっくりな外国人男性 笑

Yooka Laylee ユーカレイリー ダウンロード版 My Nintendo Store マイニンテンドーストア
ワンピース名前かっこいいランキング1 シルバーズ レイリー2 バ Yahoo 知恵袋

Yooka Laylee ユーカレイリー ダウンロード版 My Nintendo Store マイニンテンドーストア

Disney ディズニー スーパーベスト英語歌 94年 ケースと歌詞カードは劣化 の通販 By 値下要求 お急ぎの方はご遠慮ください ディズニーならラクマ

ワンピース ロジャー海賊団メンバー一覧 光月おでんもクルー ワンちく

Yooka Laylee ゆーかれいりー とは ピクシブ百科事典

Uzivatel Hiroki Hayashi 林 祐希 Na Twitteru 以前に作った One Piece シルバーズ レイリーを3dプリント出力してみました T Co N8ghnajoju Onepiece シルバーズレイリー Zbrush 3dプリント フィギュア

駿河屋 中古 24 シルバーズ レイリー アニキャラヒーローズ ワンピース Vol 6 スリラーバーク編 A トレーディングフィギュア

19 4 10 水 留学39日目 ヨネスの手を触る マリンの勘違い フィリピンのナンパ師レイリーから聞いたフィリピーノレディの特徴 ジーナとメッセンジャー交換 高卒29歳の能無しフリーター男 ひねくれ者の留学体験記 19年3月 4月 Note

レイリー散乱 英語

ワンピース ネタバレ 717話 英語 チンジャオはレイリーの宝を狙っている うなじゅう

英語でonepiece この海で一番自由な奴が海賊王だ 英語でなんていう まんが えいごjapan

ワンピース考察 ラフテルの正体は Laugh Tale とついに確定 場所は海底か南極 Dの王国だった 由来意味 笑い話 ドル漫
レビュー Ps4 ユーカレイリー 元レア社スタッフが手がけたバンジョーとカズーイの大冒険の後継作 3dアクション アドベンチャーゲーム 評価 感想 ゆあのゲームブログ

予防医学は 愛のかたち プライベートサロン Rayleigh レイリー

英語 Rpgなどのゲームキャラに使える名前一覧 外国人 花 30代40代で身につける英会話

Yooka Laylee ユーカレイリー ダウンロード版 My Nintendo Store マイニンテンドーストア

ワンピース シャンクスの愛剣 グリフォン はロジャーから受け継がれたものなのか ヤマカム

ヤフオク 英語 ハンナ ブレンドン 他 日本語 蜷川 他 ザ

Cwl オールスター ガイハジの狂犬 レイリーの世界デビューに不安しかない件 ガイハジ県立クラクラ専門学校
ワンピースウエハース 躍動する最悪の世代 10 N No 5 10 シルバーズ レイリー ネコポス配送対応 C トイサンタ Paypayモール店 通販 Paypayモール

駿河屋 中古 シルバーズ レイリー ノーマル ワンピース Creator Creator Silvers Rayleigh フィギュア

ワンピース 英語 52巻 ゼル王

Onepiece 591 それでいいのか 我思う故に 新館我思う故に 新館

アクセント を変えれば英語は数倍通じる 実践 伝わる英語トレーニング 東洋経済オンライン 経済ニュースの新基準

キャラ弁 冥王レイリー ワンピース 笑顔で英語で子育て キャラ弁